• <tr id="ii00i"></tr>
  • <nav id="ii00i"><sup id="ii00i"></sup></nav>
  • <nav id="ii00i"></nav>
  • <tfoot id="ii00i"><noscript id="ii00i"></noscript></tfoot>
    <tfoot id="ii00i"><noscript id="ii00i"></noscript></tfoot>
  • <tfoot id="ii00i"><noscript id="ii00i"></noscript></tfoot>
    天天成人综合网,亚洲人妻资源网,欧美精品网,国产黑丝袜在线观看视频,蜜桃av一卡二卡三卡,激情综合图区,亚洲avav,亚洲av电影天堂网

    您好!歡迎光臨烜芯微科技品牌官網!

    深圳市烜芯微科技有限公司

    ShenZhen XuanXinWei Technoligy Co.,Ltd
    二極管、三極管、MOS管、橋堆

    全國服務熱線:18923864027

  • 熱門關鍵詞:
  • 橋堆
  • 場效應管
  • 三極管
  • 二極管
  • rc充放電時間計算公式,rc電容充電放電解析
    • 發布時間:2024-05-05 15:20:20
    • 來源:
    • 閱讀次數:
    rc充放電時間計算公式,rc電容充電放電解析
    rc充放電時間計算公式
    電容充電放電時間計算公式:
    rc充放電時間
    RC電路的時間常數:τ=RC
    式中,τ為RC充放電時間常數,單位是S;R為電阻,單位是Ω;C為電容,單位是F。
    V0 為電容初始電壓值;
    V1 為電容充滿電壓值;
    Vt 為任意時刻的電壓值;
    E 為電源電壓;
    當t= 1RC時,電容電壓=0.63V1;
    當t= 2RC時,電容電壓=0.86V1;
    當t= 3RC時,電容電壓=0.90V1;
    當t= 4RC時,電容電壓=0.98V1;
    當t= 5RC時,電容電壓=0.99V1;
    經過3~5個RC后,充電過程基本結束。
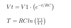
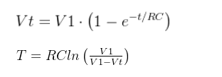
    充電(電壓為E的電源通過R向初值為0的電容C充電,V0=0,V1=E,故充到t時刻電容上的電壓為)
    rc充放電時間
    放電(初始電壓為E的電容C通過R放電 , V0=E,V1=0,故放到t時刻電容上的電壓為)
    rc充放電時間
    〈烜芯微/XXW〉專業制造二極管,三極管,MOS管,橋堆等,20年,工廠直銷省20%,上萬家電路電器生產企業選用,專業的工程師幫您穩定好每一批產品,如果您有遇到什么需要幫助解決的,可以直接聯系下方的聯系號碼或加QQ/微信,由我們的銷售經理給您精準的報價以及產品介紹
     
    聯系號碼:18923864027(同微信)
    QQ:709211280
    相關閱讀