• <tr id="ii00i"></tr>
  • <nav id="ii00i"><sup id="ii00i"></sup></nav>
  • <nav id="ii00i"></nav>
  • <tfoot id="ii00i"><noscript id="ii00i"></noscript></tfoot>
    <tfoot id="ii00i"><noscript id="ii00i"></noscript></tfoot>
  • <tfoot id="ii00i"><noscript id="ii00i"></noscript></tfoot>
    天天成人综合网,亚洲人妻资源网,欧美精品网,国产黑丝袜在线观看视频,蜜桃av一卡二卡三卡,激情综合图区,亚洲avav,亚洲av电影天堂网

    您好!歡迎光臨烜芯微科技品牌官網!

    深圳市烜芯微科技有限公司

    ShenZhen XuanXinWei Technoligy Co.,Ltd
    二極管、三極管、MOS管、橋堆

    全國服務熱線:18923864027

  • 熱門關鍵詞:
  • 橋堆
  • 場效應管
  • 三極管
  • 二極管
  • MOS管小信號模型詳解
    • 發布時間:2023-05-15 16:01:32
    • 來源:
    • 閱讀次數:
    MOS管小信號模型詳解
    MOS管小信號模型
    小信號是指對偏置的影響非常小的信號,物理上就是MOS管的線性模型。
    數學上,MOS小信號模型實際就是一個泰勒展開的過程,找到一個偏置點對電壓電流關系求導數,把高階部分去掉,留下線性部分。
    當在加一個小正弦信號
    MOS管 小信號模型
    瞬態響應為:
    MOS管 小信號模型
    信號傳遞過程為:
    MOS管 小信號模型
    小信號等效模型
    在飽和區時MOS管的漏極電流是柵源電壓的函數,即為一個壓控電流源,電流值為,且由于柵源之間的低頻阻抗很高,因此可得到一個理想的MOS管的小信號模型,如圖所示。[對于小信號來說,不會變化的電壓相當于地,即上端接地]
    MOS管 小信號模型
    實際的模擬集成電路中MOS管存在著二階效應,而由于溝道調制效應等效于漏源之間的電阻;而襯底偏置效應則體現為背柵效應,即可用漏源之間的等效壓控電流源表示,因此MOS管在飽和時的小信號等效模型。
    MOS管 小信號模型
    其中
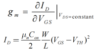
    1)gm
    gm柵跨導為柵電壓對漏電流的控制能力
    MOS管 小信號模型
    gm的三種表達式:
    其中W/L、ID、VGS-VTH三者只有兩個獨立元素,可由任意兩個元素求出第三個元素
    MOS管 小信號模型
    2)gmb
    gmb:體現襯偏效應對漏電流的控制作用
    MOS管 小信號模型
    γ為體效應系數。在器件模型中,表面勢F=2FF和γ均由工廠提供。0.5um工藝中:對NMOS γ=0.4V1/2;對PMOS γ=-0.4V1/2
    MOS管 小信號模型
    3)VBS
    VBS為負電壓,相當于界面與襯底之間加了一反向電壓,這使耗盡區變厚,同時也使源/漏區與襯底的PN結的空間電荷區均變寬,因為這兩個結的反向偏置電壓值為VBS。
    在這種條件下,要吸引源、漏區的電子來產生導電層就必須在柵極加更高的正電壓,即VTH變大了。該效應也稱為“襯偏效應”或 “背柵效應”。
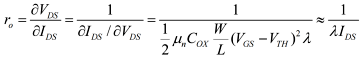
    4)ro
    MOS管輸出電阻ro的改變可以通過改變偏置電流(ID),或者改變W/L的方法實現。
    MOS管 小信號模型
    〈烜芯微/XXW〉專業制造二極管,三極管,MOS管,橋堆等,20年,工廠直銷省20%,上萬家電路電器生產企業選用,專業的工程師幫您穩定好每一批產品,如果您有遇到什么需要幫助解決的,可以直接聯系下方的聯系號碼或加QQ/微信,由我們的銷售經理給您精準的報價以及產品介紹
     
    聯系號碼:18923864027(同微信)
    QQ:709211280
    相關閱讀