• <tr id="ii00i"></tr>
  • <nav id="ii00i"><sup id="ii00i"></sup></nav>
  • <nav id="ii00i"></nav>
  • <tfoot id="ii00i"><noscript id="ii00i"></noscript></tfoot>
    <tfoot id="ii00i"><noscript id="ii00i"></noscript></tfoot>
  • <tfoot id="ii00i"><noscript id="ii00i"></noscript></tfoot>
    天天成人综合网,亚洲人妻资源网,欧美精品网,国产黑丝袜在线观看视频,蜜桃av一卡二卡三卡,激情综合图区,亚洲avav,亚洲av电影天堂网

    您好!歡迎光臨烜芯微科技品牌官網!

    深圳市烜芯微科技有限公司

    ShenZhen XuanXinWei Technoligy Co.,Ltd
    二極管、三極管、MOS管、橋堆

    全國服務熱線:18923864027

  • 熱門關鍵詞:
  • 橋堆
  • 場效應管
  • 三極管
  • 二極管
  • 電路設計,MOS管參數計算介紹
    • 發布時間:2023-01-31 15:29:22
    • 來源:
    • 閱讀次數:
    電路設計,MOS管參數計算介紹
    MOS管參數計算
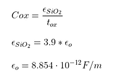
    設計電路尺寸時,需要用到薩支唐公式,那么如何得到公式中的Vth和unCox呢?
    方法1:看工藝的model,一般可以直接找到PMOS和NMOS的Vth0,u0和tox,根據下列公式由tox計算得出Cox,
    MOS管 Vth unCox 計算
    方法2:搭單個管子的電路,DC掃描柵極輸入電壓,得到電流值,用matlab處理得到擬合線性曲線,根據斜率和截距,計算unCox、upCox和Vtn、Vtp。
    方法3:利用書上的model數據進行估算,以下是allen書上的0.8um Nwell CMOS工藝,可以看到PMOS管和NMOS管的Vt大約為0.7V,unCox=110,upCox=50
    MOS管 Vth unCox 計算
    〈烜芯微/XXW〉專業制造二極管,三極管,MOS管,橋堆等,20年,工廠直銷省20%,上萬家電路電器生產企業選用,專業的工程師幫您穩定好每一批產品,如果您有遇到什么需要幫助解決的,可以直接聯系下方的聯系號碼或加QQ/微信,由我們的銷售經理給您精準的報價以及產品介紹
     
    聯系號碼:18923864027(同微信)
    QQ:709211280
    相關閱讀