• <tr id="ii00i"></tr>
  • <nav id="ii00i"><sup id="ii00i"></sup></nav>
  • <nav id="ii00i"></nav>
  • <tfoot id="ii00i"><noscript id="ii00i"></noscript></tfoot>
    <tfoot id="ii00i"><noscript id="ii00i"></noscript></tfoot>
  • <tfoot id="ii00i"><noscript id="ii00i"></noscript></tfoot>
    天天成人综合网,亚洲人妻资源网,欧美精品网,国产黑丝袜在线观看视频,蜜桃av一卡二卡三卡,激情综合图区,亚洲avav,亚洲av电影天堂网

    您好!歡迎光臨烜芯微科技品牌官網!

    深圳市烜芯微科技有限公司

    ShenZhen XuanXinWei Technoligy Co.,Ltd
    二極管、三極管、MOS管、橋堆

    全國服務熱線:18923864027

  • 熱門關鍵詞:
  • 橋堆
  • 場效應管
  • 三極管
  • 二極管
  • MOS管靜態功耗圖文詳解,計算教程
    • 發布時間:2022-08-08 18:15:52
    • 來源:
    • 閱讀次數:
    MOS管靜態功耗圖文詳解,計算教程
    MOS管靜態功耗步驟
    如下圖所示的NMOS反相器,現在要計算其靜態功耗。
    MOS管 靜態功耗
    當輸入信號為高電平時,NMOS閉合,但是又不是一個理想的開關,所以有開關電阻RON。
    MOS管 靜態功耗
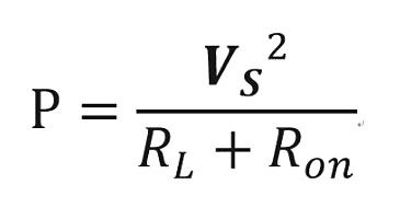
    所以,當輸入為高電平時,靜態功耗為下圖所示:
    MOS管 靜態功耗
    當輸入為低電平時,此時NMOS是理想的斷開,此時電路如下圖所示。
    MOS管 靜態功耗
    由于電路中沒有電流,所以功耗為0。
    MOS管 靜態功耗
    所以對于本有NMOS構成的反相器而言,靜態功耗為:
    MOS管 靜態功耗
    當忽略掉該直流導通電阻RON時,則靜態功耗為:
    MOS管 靜態功耗
    如何理解mosfet靜態功耗低,三極管功耗為什么又比mos管功耗高,速度比mos管慢?
    功耗是因為三極管做開關時,要一個Ib維持。而mos管是壓控device,基本上不消耗電流。
    速度是因為,mos管壓控時,得等大gate上電荷積累到vth后,電路才導通;而三極管是電流控制,導通時間比mos管的小的多。
    〈烜芯微/XXW〉專業制造二極管,三極管,MOS管,橋堆等,20年,工廠直銷省20%,上萬家電路電器生產企業選用,專業的工程師幫您穩定好每一批產品,如果您有遇到什么需要幫助解決的,可以直接聯系下方的聯系號碼或加QQ/微信,由我們的銷售經理給您精準的報價以及產品介紹
     
    聯系號碼:18923864027(同微信)
    QQ:709211280

    相關閱讀