在信號處理領域中,對于信號處理的實時性、快速性的要求越來越高。而在許多信息處理過程中,如對信號的過濾、檢測、預測等,都要廣泛地用到濾波器。其中數字濾波器具有穩定性高、設計靈活等優點,避免了模擬濾波器所無法克服的電壓漂移、溫度漂移和噪聲等問題,因而隨著數字技術的發展,用數字技術實現濾波器的功能越來越受到人們的注意和廣泛的應用。下面將介紹其是如何工作的?
數字濾波器對信號濾波的方法是:用數字計算機對數字信號進行處理,處理就是按照預先編制的程序進行計算。數字濾波器的原理如圖所示,它的核心是數字信號處理器。

數字濾波器原理圖
這過程必須利用采樣定理(sampling theorem)進行采樣。輸入信號經過模擬低通濾波即抗折疊濾波器(anTI-aliasing filter)去掉輸入信號中的高頻分量。經過平滑化的模擬信號再用于采樣。另外D-A轉換后模擬信號要經過平滑濾波器(smoothing filter)進行平滑處理,該工作可用模擬低通濾波器來完成。
另外,數字通信中使用的數字均衡器(digital equalizer)也可以視作一種數字濾波器,但是用數字均衡器直接進行數字信號處理時,就不再需要圖中的A-D轉換器和D-A轉換器。
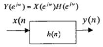
所謂數字濾波器,就是把輸入序列通過一定的運算變換成輸出序列。如上圖所示。其時域輸入輸出關系是:
時域輸入輸出關系
若x(n) ,y (n)的傅里葉變換存在,則輸入輸出的頻域關系是:

假定|X(ejw)|,|H(ejw)|如圖中(a),(b)所示,則由式得|Y(ejw)|如圖(c)所示。


這樣,x(n)通過系統h(n)的結果是使得輸出y(n)中不再含有|w|>wc的頻率部分,而使|w|
總而言之,數字濾波器是按照程序計算信號,達到濾波的目的。通過對數字濾波器的存儲器編寫程序,就可以實現各種濾波功能。對數字濾波器來說,增加功能就是增加程序,不用增加元件,不受元件誤差的影響,對低頻信號的處理也不用增加芯片的體積。用數字濾波方法可以擺脫模擬濾波器被元件限制的困擾。
電話:18923864027(同微信)
QQ:709211280
〈烜芯微/XXW〉專業制造二極管,三極管,MOS管,橋堆等,20年,工廠直銷省20%,上萬家電路電器生產企業選用,專業的工程師幫您穩定好每一批產品,如果您有遇到什么需要幫助解決的,可以直接聯系下方的聯系號碼或加QQ/微信,由我們的銷售經理給您精準的報價以及產品介紹

