• <tr id="ii00i"></tr>
  • <nav id="ii00i"><sup id="ii00i"></sup></nav>
  • <nav id="ii00i"></nav>
  • <tfoot id="ii00i"><noscript id="ii00i"></noscript></tfoot>
    <tfoot id="ii00i"><noscript id="ii00i"></noscript></tfoot>
  • <tfoot id="ii00i"><noscript id="ii00i"></noscript></tfoot>
    天天成人综合网,亚洲人妻资源网,欧美精品网,国产黑丝袜在线观看视频,蜜桃av一卡二卡三卡,激情综合图区,亚洲avav,亚洲av电影天堂网

    您好!歡迎光臨烜芯微科技品牌官網!

    深圳市烜芯微科技有限公司

    ShenZhen XuanXinWei Technoligy Co.,Ltd
    二極管、三極管、MOS管、橋堆

    全國服務熱線:18923864027

  • 熱門關鍵詞:
  • 橋堆
  • 場效應管
  • 三極管
  • 二極管
  • 三極管射極跟隨器電路介紹
    • 發布時間:2021-08-18 16:27:03
    • 來源:
    • 閱讀次數:
    三極管射極跟隨器電路介紹
    射極跟隨器電路
    共集電極放大電路射極輸出器、射極跟隨器
    三極管 射極跟隨器電路
    圖1 射極輸出器電路
    一、 靜態分析
    三極管 射極跟隨器電路
    二、動態分析
    三極管 射極跟隨器電路
    圖2 微變等效電路
    三極管 射極跟隨器電路
    圖3 微變等效電路
    1. 電流放大倍數:(忽略Rb的分流
    三極管 射極跟隨器電路
    結 論:
    三極管 射極跟隨器電路
    2)輸入輸出同相,輸出電壓跟隨輸入電壓,故稱電壓跟隨器。
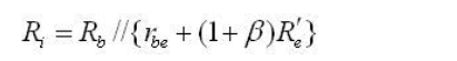
    3. 輸入電阻
    三極管 射極跟隨器電路
    圖5 輸入電路圖
    三極管 射極跟隨器電路
    輸入電阻較大,作為前一級的負載,對前一級的放大倍數影響較小。
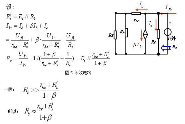
    4. 輸出電阻
    用加壓 求流法求輸出電阻。
    三極管 射極跟隨器電路
    圖5 等效電路
    三極管 射極跟隨器電路
    射極輸出器的輸出電阻很小,帶負載能力強。
    射極輸出器特點:
    電壓增益小于近似等于1,輸出電壓與輸入電壓同 相,輸入電阻高,輸出電阻低。
    射極輸出器的使用
    1、將射極輸出器放在電路的首級,可以提高輸入電阻。
    2、將射極輸出器放在電路的 末級,可以降 低輸出電阻,提高帶負載能力。
    3、將射極輸出器放在電路的兩級之間,可以起到電路的匹配作用。
    例:
    估算靜態工作 點,計算電流放大倍數、電壓放大倍數和輸入、輸出電阻。
    三極管 射極跟隨器電路
    圖6 例圖電路
    可見:輸入電阻很大,輸出電阻很小。
    電話:18923864027(同微信)
    QQ:709211280
    〈烜芯微〉專業制造二極管,三極管,MOS管,橋堆等20年,工廠直銷省20%,上萬家電路電器生產企業選用,專業的工程師幫您穩定好每一批產品,如果您有遇到什么需要幫助解決的,可以點擊右邊的工程師,或者點擊銷售經理給您精準的報價以及產品介紹

    相關閱讀