• <tr id="ii00i"></tr>
  • <nav id="ii00i"><sup id="ii00i"></sup></nav>
  • <nav id="ii00i"></nav>
  • <tfoot id="ii00i"><noscript id="ii00i"></noscript></tfoot>
    <tfoot id="ii00i"><noscript id="ii00i"></noscript></tfoot>
  • <tfoot id="ii00i"><noscript id="ii00i"></noscript></tfoot>
    天天成人综合网,亚洲人妻资源网,欧美精品网,国产黑丝袜在线观看视频,蜜桃av一卡二卡三卡,激情综合图区,亚洲avav,亚洲av电影天堂网

    您好!歡迎光臨烜芯微科技品牌官網!

    深圳市烜芯微科技有限公司

    ShenZhen XuanXinWei Technoligy Co.,Ltd
    二極管、三極管、MOS管、橋堆

    全國服務熱線:18923864027

  • 熱門關鍵詞:
  • 橋堆
  • 場效應管
  • 三極管
  • 二極管
  • 二極管的損耗圖解(不止有導通損耗)
    • 發布時間:2020-10-10 18:15:24
    • 來源:
    • 閱讀次數:
    二極管的損耗圖解(不止有導通損耗)
    二極管的損耗
    導語
    首先,建議大家看之前先看下面這一篇,以了解二極管的開關過程,這有助于后面的理解。
    二極管的開關過程及其可能引發的EMI問題
    二極管的損耗
    正題:很多時候,我們會認為二極管的導通損耗(即其正向壓降乘以正向電流)就是它的總損耗。但是二極管的開關過程中,由于電流電壓波形有交叉,它們的乘積不為零,所以存在著開關損耗。同時由于二極管有反向漏電流的存在,所以還有一個截止損耗。
    綜上,二極管的損耗類型包含了導通損耗、截止損耗、開通損耗、關斷損耗。這與MOSFET的損耗類似(但MOSFET比二極管復雜),今天就介紹這些損耗如何計算。
    必要的名稱解釋
    VF/VR:正向壓降/反向電壓
    IF/IR:正向電流/反向漏電流
    tfr:正向恢復時間
    Vfp/Ifp:正向峰值電壓/正向峰值電流
    Vrp/Irp:反向峰值電壓/反向峰值電流
    Qrr:反向恢復電荷
    損耗分析
     由于二極管常用于整流,所以我們這里假設二極管通過的是一個方波信號,周期為T、頻率為f、導通時間為ton、占空比為D。
    再回顧下二極管的開關過程如下圖-1所示:
    二極管的損耗
    圖-1:二極管的開關過程示意圖
    如上圖-1所示,可以容易地列出二極管的四大平均功率損耗:
    導通損耗:
    二極管的損耗
    截止損耗:
    二極管的損耗
    開通損耗:
    二極管的損耗
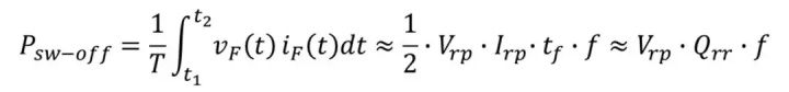
    關斷損耗:
    二極管的損耗
    注意:從圖-1可以看到二極管在反向恢復時間trr內的td時段,壓降很小,所以在這段時間產生的損耗可以忽略不計,關斷損耗的積分區間直接從t1到t2。
     最后說一下,我們常認為二極管的導通損耗近似于它的總損耗是有道理的,因為導通損耗一般來說占的比重比較大,所以我們有時會喜歡使用那些正向壓降低的二極管,比如肖特基二極管。
    “在高溫環境下,二極管的反向恢復時間會變長,反向漏電流也會變大。對此敏感的電路需要注意。
    烜芯微專業制造二極管,三極管,MOS管,橋堆等20年,工廠直銷省20%,4000家電路電器生產企業選用,專業的工程師幫您穩定好每一批產品,如果您有遇到什么需要幫助解決的,可以點擊右邊的工程師,或者點擊銷售經理給您精準的報價以及產品介紹
    相關閱讀