• <tr id="ii00i"></tr>
  • <nav id="ii00i"><sup id="ii00i"></sup></nav>
  • <nav id="ii00i"></nav>
  • <tfoot id="ii00i"><noscript id="ii00i"></noscript></tfoot>
    <tfoot id="ii00i"><noscript id="ii00i"></noscript></tfoot>
  • <tfoot id="ii00i"><noscript id="ii00i"></noscript></tfoot>
    天天成人综合网,亚洲人妻资源网,欧美精品网,国产黑丝袜在线观看视频,蜜桃av一卡二卡三卡,激情综合图区,亚洲avav,亚洲av电影天堂网

    您好!歡迎光臨烜芯微科技品牌官網!

    深圳市烜芯微科技有限公司

    ShenZhen XuanXinWei Technoligy Co.,Ltd
    二極管、三極管、MOS管、橋堆

    全國服務熱線:18923864027

  • 熱門關鍵詞:
  • 橋堆
  • 場效應管
  • 三極管
  • 二極管
  • 功率MOSFET-功率MOSFET全方位分析詳情-MOS管技術知識
    • 發布時間:2020-05-27 16:43:44
    • 來源:
    • 閱讀次數:
    功率MOSFET-功率MOSFET全方位分析詳情-MOS管技術知識
    功率MOSFET概述
    功率MOS場效應晶體管,即MOSFET,其原意是:MOS(Metal Oxide Semiconductor金屬氧化物半導體),FET(Field Effect Transistor場效應晶體管),即以金屬層(M)的柵極隔著氧化層(O)利用電場的效應來控制半導體(S)的場效應晶體管。
    功率MOSFET分析
    (一)功率MOSFET的正向導通等效電路
    (1)等效電路
    功率MOSFET
    (2)說明:
    功率 MOSFET 正向導通時可用一電阻等效,該電阻與溫度有關,溫度升高,該電阻變大;它還與門極驅動電壓的大小有關,驅動電壓升高,該電阻變小。詳細的關系曲線可從制造商的手冊中獲得。
    (二)功率MOSFET的反向導通等效電路(1)
    (1)等效電路(門極不加控制)
    功率MOSFET
    (2)說明:
    即內部二極管的等效電路,可用一電壓降等效,此二極管為MOSFET 的體二極管,多數情況下,因其特性很差,要避免使用。
    (三)功率MOSFET的反向導通等效電路(2)
    (1)等效電路(門極加控制)
    功率MOSFET
    (2)說明:
    功率 MOSFET 在門級控制下的反向導通,也可用一電阻等效,該電阻與溫度有關,溫度升高,該電阻變大;它還與門極驅動電壓的大小有關,驅動電壓升高,該電阻變小。詳細的關系曲線可從制造商的手冊中獲得。此工作狀態稱為MOSFET 的同步整流工作,是低壓大電流輸出開關電源中非常重要的一種工作狀態。
    (四)功率MOSFET的正向截止等效電路
    (1)等效電路
    功率MOSFET
    (2)說明:
    功率 MOSFET 正向截止時可用一電容等效,其容量與所加的正向電壓、環境溫度等有關,大小可從制造商的手冊中獲得。
    (五)功率MOSFET的穩態特性總結
    (1)功率MOSFET 穩態時的電流/電壓曲線
    功率MOSFET
    (2)說明:
    功率 MOSFET 正向飽和導通時的穩態工作點:
    功率MOSFET
    當門極不加控制時,其反向導通的穩態工作點同二極管。
    (3)穩態特性總結:
    1、門極與源極間的電壓Vgs 控制器件的導通狀態;當VgsVth時,器件處于導通狀態;器件的通態電阻與Vgs有關,Vgs大,通態電阻小;多數器件的Vgs為 12V-15V ,額定值為+-30V;
    2、器件的漏極電流額定是用它的有效值或平均值來標稱的;只要實際的漏極電流有效值沒有超過其額定值,保證散熱沒問題,則器件就是安全的;
    3、器件的通態電阻呈正溫度系數,故原理上很容易并聯擴容,但實際并聯時,還要考慮驅動的對稱性和動態均流問題;
    4、目前的 Logic-Level的功率 MOSFET,其Vgs只要 5V,便可保證漏源通態電阻很小;
    5、器件的同步整流工作狀態已變得愈來愈廣泛,原因是它的通態電阻非常小(目前最小的為2-4 毫歐),在低壓大電流輸出的DC/DC 中已是最關鍵的器件;
    (六)包含寄生參數的功率MOSFET等效電路
    (1)等效電路
    功率MOSFET
    (2)說明:
    實際的功率MOSFET 可用三個結電容,三個溝道電阻,和一個內部二極管及一個理想MOSFET 來等效。三個結電容均與結電壓的大小有關,而門極的溝道電阻一般很小,漏極和源極的兩個溝道電阻之和即為MOSFET 飽和時的通態電阻。
    (七)功率MOSFET的開通和關斷過程原理
    (1)開通和關斷過程實驗電路
    功率MOSFET
    (2)MOSFET 的電壓和電流波形:
    功率MOSFET
    (3)開關過程原理:
    開通過程[t0 ~ t4]:
    1、在 t0 前,MOSFET 工作于截止狀態,t0 時,MOSFET 被驅動開通;
    2、[t0-t1]區間,MOSFET 的GS 電壓經Vgg 對Cgs充電而上升,在t1時刻,到達維持電壓Vth,MOSFET 開始導電;
    3、[t1-t2]區間,MOSFET 的DS 電流增加,Millier 電容在該區間內因DS 電容的放電而放電,對GS 電容的充電影響不大;
    4、[t2-t3]區間,至t2 時刻,MOSFET 的DS 電壓降至與Vgs 相同的電壓,Millier 電容大大增加,外部驅動電壓對Millier 電容進行充電,GS 電容的電壓不變,Millier 電容上電壓增加,而DS電容上的電壓繼續減小;
    5、[t3-t4]區間,至t3 時刻,MOSFET 的DS 電壓降至飽和導通時的電壓,Millier 電容變小并和GS 電容一起由外部驅動電壓充電,GS 電容的電壓上升,至t4 時刻為止。此時GS 電容電壓已達穩態,DS 電壓也達最小,即穩定的通態壓降。
    關斷過程[ t5 ~t9 ]:
    1、在 t5 前,MOSFET 工作于導通狀態, t5 時,MOSFET 被驅動關斷;
    2、[t5-t6]區間,MOSFET 的Cgs 電壓經驅動電路電阻放電而下降,在t6 時刻,MOSFET 的通態電阻微微上升,DS 電壓梢稍增加,但DS 電流不變;
    3、[t6-t7]區間,在t6 時刻,MOSFET 的Millier 電容又變得很大,故GS 電容的電壓不變,放電電流流過Millier 電容,使DS 電壓繼續增加;
    4、[t7-t8]區間,至t7 時刻,MOSFET 的DS 電壓升至與Vgs 相同的電壓,Millier 電容迅速減小,GS 電容開始繼續放電,此時DS 電容上的電壓迅速上升,DS 電流則迅速下降;
    5、[t8-t9]區間,至t8 時刻,GS 電容已放電至Vth,MOSFET 完全關斷;該區間內GS 電容繼續放電直至零。
    (八)因二極管反向恢復引起的MOSFET開關波形
    (1)實驗電路
    功率MOSFET
    (2)因二極管反向恢復引起的MOSFET開關波形:
    功率MOSFET
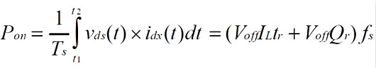
    (九)功率MOSFET的功率損耗公式
    (1)導通損耗:
    功率MOSFET
    該公式對控制整流和同步整流均適用
    功率MOSFET
    該公式在體二極管導通時適用
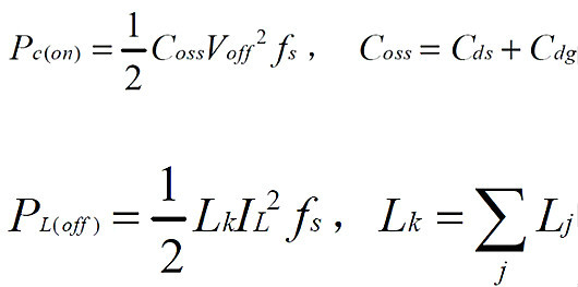
    (2)容性開通和感性關斷損耗:
    功率MOSFET
    為MOSFET 器件與二極管回路中的所有分布電感只和。一般也可將這個損耗看成器件的感性關斷損耗。
    (3)開關損耗:
    開通損耗:
    功率MOSFET
    考慮二極管反向恢復后:
    功率MOSFET
    功率MOSFET
    (十)功率MOSFET的選擇原則與步驟
    (1)選擇原則
    (A)根據電源規格,合理選擇MOSFET 器件(見下表):
    (B)選擇時,如工作電流較大,則在相同的器件額定參數下,
    應盡可能選擇正向導通電阻小的 MOSFET;
    應盡可能選擇結電容小的 MOSFET。
    功率MOSFET
    (2)選擇步驟
    (A)根據電源規格,計算所選變換器中MOSFET 的穩態參數:
    正向阻斷電壓最大值;
    最大的正向電流有效值;
    (B)從器件商的DATASHEET 中選擇合適的MOSFET,可多選一些以便實驗時比較;
    (C)從所選的MOSFET 的其它參數,如正向通態電阻,結電容等等,估算其工作時的最大損耗,與其它元器件的損耗一起,估算變換器的效率;
    (D)由實驗選擇最終的MOSFET器件。
    (十一)開關器件的分類
    (1)按制作材料分類:
    1、(Si)功率器件;
    2、(Ga)功率器件;
    3、(GaAs)功率器件;
    4、(SiC)功率器件;
    5、(GaN)功率器件;
    6、(Diamond)功率器件;
    (2)按是否可控分類:
    1、完全不控器件:如二極管器件;
    2、可控制開通,但不能控制關斷:如普通可控硅器件;
    3、全控開關器件
    4、電壓型控制器件:如MOSFET,IGBT,IGT/COMFET ,SIT 等;
    5、電流型控制期間:如GTR,GTO 等
    (3)按工作頻率分類:
    1、低頻功率器件:如可控硅,普通二極管等;
    2、中頻功率器件:如GTR,IGBT,IGT/COMFET;
    3、高頻功率器件:如MOSFET,快恢復二極管,蕭特基二極管,SIT等
    (4)按額定可實現的最大容量分類:
    1、小功率器件:如MOSFET
    2、中功率器件:如IGBT
    3、大功率器件:如GTO
    (5):按導電載波的粒子分類:
    1、多子器件:如MOSFET,蕭特基,SIT,JFET 等
    2、少子器件:如IGBT,GTR,GTO,快恢復,等
    烜芯微專業制造二極管,三極管,MOS管,橋堆等20年,工廠直銷省20%,1500家電路電器生產企業選用,專業的工程師幫您穩定好每一批產品,如果您有遇到什么需要幫助解決的,可以點擊右邊的工程師,或者點擊銷售經理給您精準的報價以及產品介紹
    相關閱讀