• <tr id="ii00i"></tr>
  • <nav id="ii00i"><sup id="ii00i"></sup></nav>
  • <nav id="ii00i"></nav>
  • <tfoot id="ii00i"><noscript id="ii00i"></noscript></tfoot>
    <tfoot id="ii00i"><noscript id="ii00i"></noscript></tfoot>
  • <tfoot id="ii00i"><noscript id="ii00i"></noscript></tfoot>
    天天成人综合网,亚洲人妻资源网,欧美精品网,国产黑丝袜在线观看视频,蜜桃av一卡二卡三卡,激情综合图区,亚洲avav,亚洲av电影天堂网

    您好!歡迎光臨烜芯微科技品牌官網!

    深圳市烜芯微科技有限公司

    ShenZhen XuanXinWei Technoligy Co.,Ltd
    二極管、三極管、MOS管、橋堆

    全國服務熱線:18923864027

  • 熱門關鍵詞:
  • 橋堆
  • 場效應管
  • 三極管
  • 二極管
  • 晶體三極管放大電路圖有幾種-原理是什么
    • 發布時間:2020-03-19 16:33:57
    • 來源:
    • 閱讀次數:
    晶體三極管放大電路圖有幾種-原理是什么
    基本的三極管放大電路圖目前有三種可實現,其操作原理也很簡單。
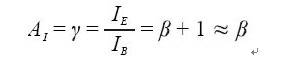
    第一種:共基極放大電路,輸入端(EB之間),輸入阻抗低(約20~200 )是正向偏壓,輸出端(CB之間),輸出阻抗高(約100k~1M )為反向偏壓。
    晶體三極管
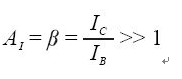
    電流增益:當AI小于,而RL/Ri很大時,電壓增益會相當的高。
    晶體三極管
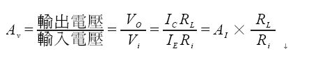
    電壓增益:
    晶體三極管
    功率增益:當AI小于,其他不變,功率增益不會變大。
    晶體三極管
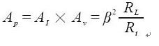
    第二種:共發射極放大電路,多是應用在各放大器電路中(有電流與電壓放大增益性能)
    其特性-輸入與輸出阻抗中等(Ri約1k~5k ;RO約50k。
    晶體三極管
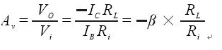
    電流增益:當負號輸出信號和輸入的信號反相(相位差°)
    晶體三極管
    電壓增益:
    晶體三極管
    功率增益:當AI小于,其他不變,功率增益不會變大。
    晶體三極管
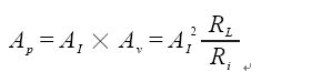
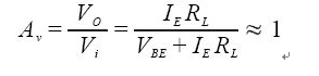
    第三種:共集電極放大電路,高輸入阻抗及低輸出阻抗的特性可作阻抗匹配用,以改善電壓信號的負載效應。
    輸入阻抗高(Ri約20 k );輸出阻抗低(RO約20 )。
    晶體三極管
    電壓增益等于1,表示射極的輸出信號追隨著基極的輸入信號,所以共集極放大器又稱為射極隨耦器(emitterfollower)。
    功率增益Ap = AI × Av≈β ,功率增益低。
    晶體三極管
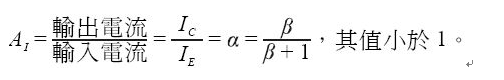
    電流增益:
    晶體三極管
    晶體三極管烜芯微專業制造二極管,三極管,MOS管,橋堆等20年,工廠直銷省20%,1500家電路電器生產企業選用,專業的工程師幫您穩定好每一批產品,如果您有遇到什么需要幫助解決的,可以點擊右邊的工程師,或者點擊銷售經理給您精準的報價以及產品介紹
    相關閱讀